WANG Yuxuan, LIU Yuanyuan, ZHANG Yuying, HUANG Shiqi, LI Yuze, DENG Chong, SONG Xiaomei, WANG Wei, ZHANG Dongdong. Study on the Chemical Components of Lignans from the Root Bark of Schisandra Sphenanthera[J]. Journal of Nanjing University of traditional Chinese Medicine, 2025, 41(6): 813-821. DOI: 10.14148/j.issn.1672-0482.2025.0813
Citation: WANG Yuxuan, LIU Yuanyuan, ZHANG Yuying, HUANG Shiqi, LI Yuze, DENG Chong, SONG Xiaomei, WANG Wei, ZHANG Dongdong. Study on the Chemical Components of Lignans from the Root Bark of Schisandra Sphenanthera[J]. Journal of Nanjing University of traditional Chinese Medicine, 2025, 41(6): 813-821. DOI: 10.14148/j.issn.1672-0482.2025.0813

Study on the Chemical Components of Lignans from the Root Bark of Schisandra Sphenanthera

More Information
  • Received Date: June 25, 2024
  • Available Online: June 08, 2025
  • OBJECTIVE 

    To study the chemical constituents in the root bark of Schisandra sphenanthera and their cytotoxic activities.

    METHODS 

    The compounds were isolated and purified by silica, Sephadex LH-20 and semi preparative-HPLC and the chemical structures were identified by 1H-NMR, 13C-NMR and MS data analysis. The cytotoxic activities of the compounds were determined by MTT method.

    RESULTS 

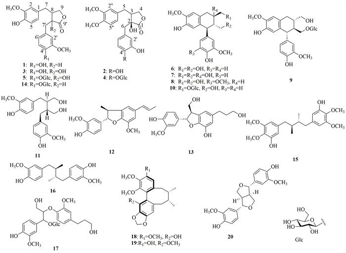
    Twenty lignans were isolated and deduced as: Matairesinol (1), 2-Hydroxy-2-(3′, 4′-dihydroxyphenyl)methyl-3-(3″, 4″-dimethoxyphenyl)methyl-gamma-butyrolactone (2), (+)-Nortrachelogenin (3), 2-Hydroxy-2-(4′-O-β-D-glucopyranosyl- 3′-hydroxyphenyl)methyl-3-(3″, 4″-dimethoxyphenyl)methyl-γ-butyrolactone (4), Nortracheloside (5), Burselignan (6), (+)-Cycloolivil (7), 5-Methoxy-(+)-isolariciresinol (8), (-)-Isolariciresinol 3α-O-β-D-glucopyranoside (9), (+)-9-O-β-D-Glucopyranosyl lyoniresinol (10), (-)-Secoisolariciresinol (11), Licarin A (12), Cedrusin (13), Matairesinol 4′-O-β-D-glucopyranoside (14), Pregomisin (15), Meso-dihydroguaiaretic acid (16), 7S, 8R-Erythro-4, 9, 9′-trihydroxy-3, 3′-dimethoxy-8-O-4′-neolignan-7-O-β-D-glucopyranoside (17), Gomisin M2 (18), Gomisin M3 (19), Pinoresinol (20). Compounds 1-3, 12, 15, 16, 18 and 19 showed cytotoxic activity against A549, HCT116 and SW620 cell lines with IC50 values ranging from 1.4 to 22.9 μmol·L-1.

    CONCLUSION 

    Compounds 1-4, 6-12, 14, 17-19 are isolated from the plant for the first time, compounds 1-3, 12, 15, 16, 18 and 19 exhibit cytotoxic activities.

  • [1]
    毛水龙. 秦岭七药[M]. 西安: 西安交通大学出版社, 2011.

    MAO S L. Seven drugs in Qinling Mountains[M]. Xi'an: Xi'an Jiaotong University Press, 2011.
    [2]
    胡同瑜. 实用中药品种鉴别[M]. 北京: 人民军医出版社, 2012.

    HU T Y. Variety identification of practical traditional Chinese medicine[M]. Beijing: People's Military Medical Press, 2012.
    [3]
    刘建国. 商洛山区兽用中草药[M]. 北京: 农业出版社, 1991: 368.

    LIU J G. Veterinary Chinese herbal medicines in the mountainous area of Shangluo[M]. Beijing: Agricultural Press, 1991: 368.
    [4]
    HUANG S Q, ZHANG D D, LI Y Z, et al. Schisandra sphenanthera: A comprehensive review of its botany, phytochemistry, pharmacology, and clinical applications[J]. Am J Chin Med, 2021, 49(7): 1577-1622. DOI: 10.1142/S0192415X21500749
    [5]
    刘媛媛, 黄仕其, 李玉泽, 等. 五味子属植物木脂素类化学成分及其药理作用研究进展[J]. 中草药, 2022, 53(6): 1903-1918.

    LIU Y Y, HUANG S Q, LI Y Z, et al. Research progress on lignans and pharmacological activities in plants of Schisandra[J]. Chin Tradit Herb Drugs, 2022, 53(6): 1903-1918.
    [6]
    HUANG S Q, LIU Y Y, LI Y Z, et al. Dibenzocyclooctadiene lignans from the root bark of Schisandra sphenanthera[J]. Phytochem Lett, 2021, 45: 137-141. DOI: 10.1016/j.phytol.2021.08.015
    [7]
    张东东, 黄仕其, 刘媛媛, 等. 华中五味子根皮中1个新的菖蒲烯类倍半萜[J]. 中草药, 2022, 53(14): 4270-4275.

    ZHANG D D, HUANG S Q, LIU Y Y, et al. A new calamenene sesquiterpenoid from root bark of Schisandra sphenanthera[J]. Chin Tradit Herb Drugs, 2022, 53(14): 4270-4275.
    [8]
    刘媛媛, 李睿, 徐浩南, 等. 长胜七中酚类成分研究[J]. 中国中药杂志, 2023, 48(12): 3287-3293.

    LIU Y Y, LI R, XU H N, et al. Phenolic derivatives from root bark of Schisandra sphenanthera[J]. China J Chin Mater Med, 2023, 48(12): 3287-3293.
    [9]
    李睿, 黄仕其, 张子龙, 等. 华中五味子根皮乙酸乙酯部位化学成分研究[J]. 中南药学, 2023, 21(9): 2288-2292.

    LI R, HUANG S Q, ZHANG Z L, et al. Chemical constituents from the ethyl acetate fraction of the root bark of Schisandra sphenanthera[J]. Cent South Pharm, 2023, 21(9): 2288-2292.
    [10]
    李昕卓, 徐浩南, 吴莹, 等. 华中五味子根皮联苯环辛烯型木脂素化学成分研究[J]. 中南药学, 2025, 23(2): 343-348.

    LI X Z, XU H N, WU Y, et al. Studies on chemical constituents of benzophenone octene lignans from the root bark of Schisandra chinensis[J]. Cent South Pharm, 2025, 23(2): 343-348.
    [11]
    RAHMAN M M A, DEWICK P M, JACKSON D E, et al. Lignans of Forsythia intermedia[J]. Phytochemistry, 1990, 29(6): 1971-1980. DOI: 10.1016/0031-9422(90)85050-P
    [12]
    RASTRELLI L, DE SIMONE F, MORA G, et al. Phenolic constituents of Phenax angustifolius[J]. J Nat Prod, 2001, 64(1): 79-81. DOI: 10.1021/np000290x
    [13]
    WANG L Y, UNEHARA N, KITANAKA S. Lignans from the roots of Wikstroemia indica and their DPPH radical scavenging and nitric oxide inhibitory activities[J]. Chem Pharm Bull (Tokyo), 2005, 53(10): 1348-1351. DOI: 10.1248/cpb.53.1348
    [14]
    李廷钊, 张卫东, 顾正兵, 等. 糙叶败酱中木脂素成分研究[J]. 药学学报, 2003, 38(7): 520-522. DOI: 10.3321/j.issn:0513-4870.2003.07.011

    LI T Z, ZHANG W D, GU Z B, et al. Studies on the lignans from Patrinia scabra[J]. Acta Pharm Sin, 2003, 38(7): 520-522. DOI: 10.3321/j.issn:0513-4870.2003.07.011
    [15]
    朱倩, 黄启龙, 张春磊, 等. 大花紫玉盘的化学成分[J]. 中国药科大学学报, 2019, 50(6): 666-671.

    ZHU Q, HUANG Q L, ZHANG C L, et al. Chemical constituents of Uvaria grandiflora[J]. J China Pharm Univ, 2019, 50(6): 666-671.
    [16]
    GHOGOMU-TIH R, BODO B, NYASSE B, et al. Isolation and identification of (-)-olivil and (+)-cycloolivil from Stereospermum kunthianum[J]. Planta Med, 1985, 51(5): 464. DOI: 10.1055/s-2007-969557
    [17]
    JUTIVIBOONSUK A, ZHANG H J, TAN G T, et al. Bioactive constituents from roots of Bursera tonkinensis[J]. Phytochemistry, 2005, 66(23): 2745-2751. DOI: 10.1016/j.phytochem.2005.09.025
    [18]
    WEN Q W, LIN X, LIU Y Q, et al. Phenolic and lignan glycosides from the butanol extract of Averrhoa carambola L. root[J]. Molecules, 2012, 17(10): 12330-12340. DOI: 10.3390/molecules171012330
    [19]
    JANG S W, SUH W S, KIM C S, et al. A new phenolic glycoside from Spiraea prunifolia var. simpliciflora twigs[J]. Arch Pharm Res, 2015, 38(11): 1943-1951. DOI: 10.1007/s12272-015-0610-y
    [20]
    HONG S S, HAN X H, HWANG J S, et al. Lignans from the stem barks of Kalopanax septemlobus[J]. Nat Prod Sci, 2006, 12(4): 201-204.
    [21]
    马迎, 韩桂秋, 王银叶. 海风藤中有PAF拮抗活性的苯骈呋喃类新木脂素[J]. 药学学报, 1993, 28(5): 370-373.

    MA Y, HAN G Q, WANG Y Y. Paf antagonistic benzofuran neolignans from Piper kadsura[J]. Acta Pharm Sin, 1993, 28(5): 370-373.
    [22]
    付朝晖, 张玉梅, 谭宁华, 等. 云南油杉的化学成分研究[J]. 天然产物研究与开发, 2008, 20(2): 257-261, 277. DOI: 10.3969/j.issn.1001-6880.2008.02.014

    FU Z H, ZHANG Y M, TAN N H, et al. Chemical constituents of Keteleeria evelyniana[J]. Nat Prod Res Dev, 2008, 20(2): 257-261, 277. DOI: 10.3969/j.issn.1001-6880.2008.02.014
    [23]
    BAN N K, THOA N T K, LINH T M, et al. Chemical constituents of Vitex trifolia leaves[J]. Nat Prod Commun, 2018, 13(2): 129-130.
    [24]
    梁成钦. 三种五味子科植物的化学成分和生物活性研究[D]. 昆明: 云南大学, 2013.

    LIANG C Q. Studies on the chemical components and biological activities of three species of schisandraceae plants[D]. Kuming: Yunan University, 2013.
    [25]
    黄泽豪, 秦路平. 华中五味子藤茎的化学成分研究[J]. 中草药, 2016, 47(19): 3374-3378. DOI: 10.7501/j.issn.0253-2670.2016.19.005

    HUANG Z H, QIN L P. Chemical constituents from canes of Schisandra sphenanthera[J]. Chin Tradit Herb Drugs, 2016, 47(19): 3374-3378. DOI: 10.7501/j.issn.0253-2670.2016.19.005
    [26]
    冯卫生, 何玉环, 郑晓珂, 等. 望春玉兰花蕾中木脂素类化学成分的研究[J]. 中国中药杂志, 2018, 43(5): 970-976.

    FENG W S, HE Y H, ZHENG X K, et al. Lignans from flower buds of Magnolia biondii[J]. China J Chin Mater Med, 2018, 43(5): 970-976.
    [27]
    IKEYA Y, TAGUCHI H, YOSIOKA I. The Constituents of Schizandra chinensis Baill. X. The structures of γ-Schizandrin and four new lignans, (-)-Gomisins L1 and L2, (±)-Gomisin M1 and (+)-Gomisin M2[J]. Chem Pharm Bull, 1982, 30(1): 132-139. DOI: 10.1248/cpb.30.132
    [28]
    NGUYEN T N, LEE Y G, KIM H G, et al. New dibenzocyclooctadiene lignan from Schisandra chinensis (Turcz. ) Baill. fruits[J]. Appl Biol Chem, 2021, 64(1): 46. DOI: 10.1186/s13765-021-00618-1
    [29]
    IN S J, SEO K H, SONG N Y, et al. Lignans and neolignans from the stems of Vibrunum erosum and their neuroprotective and anti-inflammatory activity[J]. Arch Pharm Res, 2015, 38(1): 26-34. DOI: 10.1007/s12272-014-0358-9
    [30]
    SUN Y, DING C, WANG F R, et al. Pregnane alkaloids with BRD4 inhibitory and cytotoxic activities from Pachysandra terminalis[J]. Phytochem Lett, 2021, 45: 63-67. DOI: 10.1016/j.phytol.2021.07.014

Catalog

    Article Metrics

    Article views (78) PDF downloads (7) Cited by()
    Related

    /

    DownLoad:  Full-Size Img  PowerPoint
    Return
    Return